

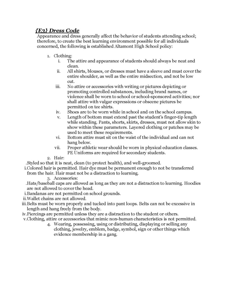
We needed to update the dates on the flyers. Please look carefully at these new updated images.


2026 Start Smart Teacher Summit!
Event Details:
Date: Tuesday, June 23, 2026
Time: 8:00 AM – 3:00 PM
Location: Utah Capitol North Conference Center Building (In-person)
Cost: $20 on Eventbrite to save your seat
Stipend: YES!!! Teachers will receive a $50 check, mailed to them after attending!
PD Credit: YES!!! 7 relicensure points through the Utah State Board of Education!
What to Expect:
The Big Reveal: Be the first to explore the new Utah K–8 Financial Literacy Concepts and www.financeintheclassroom.org
Hands-on Workshops: Practical strategies for easily integrating saving, budgeting, earning, investing, and other key topics into reading, math, and social studies
Networking: Connect with fellow passionate teachers and financial education experts!
Ready-to-Use Resources: Leave with engaging lessons and tools teachers can implement immediately!

Please see the presentation for the BYU Arts Express Conference June 9-10. Registration closes May 17th.

If you live outside of Duchesne County or outside of the neighborhood school boundary, you will need to complete the open enrollment form.
If you have any questions about Kindergarten Roundup, please contact the school.



Also, congratulations to our week four winners - UHS Jr's, DHS, RJHS 8th, AHS, DES, KPES, AES, and TAB.


Hi there,
Exciting news—allocated registration is now open for the 2026 Show Up for Teachers conference!
Register by clicking this link: https://shorturl.at/fPLDQ
This year’s conference features keynote speakers Kim Bearden (co-founder of the Ron Clark Academy) and Bronco Mendenhall (head football coach at Utah State University).
Alongside our keynotes, educators in every role will find sessions designed to support and inspire—including a dedicated Administrator Track for principals and vice principals.
Thanks to the generous support of our sponsors, teachers attend at no cost—made possible by a community that truly shows up for educators.
Space is limited by district and school type (based on FTE allocations), so we encourage early registration. If spots fill, additional registration opens on April 21.






DCSD's 2026 Sterling Scholars, Good Luck this year at State

Hello Staff! Please watch the attached digital invitation to this year's 4th annual BASIN NATION!
https://www.youtubeeducation.com/watch?v=4RaTwJrAYlA
We hope you consider joining our RJHS Concert Band, in collaboration with students and teachers from Union, Altamont and Duchesne High School and community members from our wonderful Basin Community!
The concert begins at 7:00 p.m. and will display an incredible range of power, emotion and delight in the music performed!
Our students have been working so hard, and we are so excited for all to come and enjoy!
Your attendance and support for this event, whether on or off stage, is greatly appreciated and welcome! Research has proved that music has a profoundly positive impact on student academics, achievement, and development of social and life skills. It is vital to our students and to our Uintah Basin communities and we appreciate all who support the arts! And our students especially love to see their teachers there in support of them!
Thank you, and we hope to see you there!

Don't Forget Attendance - March Madness

Who: Students with 4+ absences-F, 6+ absences -D, 10+ absences- C
What: Eat Lunch-Make up work and absences
When: During Jr. High lunch-11:26am-grab lunch and study 11:26-11:56am, High School lunch- 12:08pm grab lunch and study 12:08-12:38pm- or after school can be an option.
Where: Computer lab
Note: 2 Study halls take away 1 absence!
We are excited to offer this program to help keep our students caught up. This is NOT a punishment. We are here to help students. It also benefits the teachers to use class time for teaching and not make up work.

Attendance March Madness Competition.



